通报
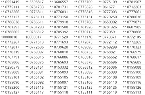
2025年9月低价链接下架106条,恢复正价159条。终止营销人员资格114人。终止的营销人员有:

本文转载自「三生」,仅供学习和交流,不具有任何商业用途,其目的在于传递更多的信息,本文观点不代表直销堂网立场。版权归原作者所有,如涉版权或来源标注有误,请及时和我们取得联系,我们将迅速处理,谢谢!QQ:986820144
通报
2025年9月低价链接下架106条,恢复正价159条。终止营销人员资格114人。终止的营销人员有:

本文转载自「三生」,仅供学习和交流,不具有任何商业用途,其目的在于传递更多的信息,本文观点不代表直销堂网立场。版权归原作者所有,如涉版权或来源标注有误,请及时和我们取得联系,我们将迅速处理,谢谢!QQ:986820144
微信扫一扫